碳納米管因其一維的管狀分子結構,表現出優異的力學、電學和光學等性質,在微納光電子器件、生物醫藥、新能源材料等方面具有廣闊的應用前景。碳納米管特殊的性質來源于其結構。原子結構排列上的微小差異將導致碳納米管光電性質的巨大區別。如:碳納米管由于結構的不同可以是金屬性的,也可以是半導體性的;每一種手性碳納米管有一對左右螺旋對稱的鏡像體,表現出相反的旋光特性(被稱作旋光異構體)等。宏量獲取單一結構、均一性質的碳納米管是研究其性質,推動其應用的關鍵?,F有的碳納米管生長技術或生長后處理技術均很難制備單一結構的碳納米管,嚴重阻礙了碳納米管性質和應用研究。
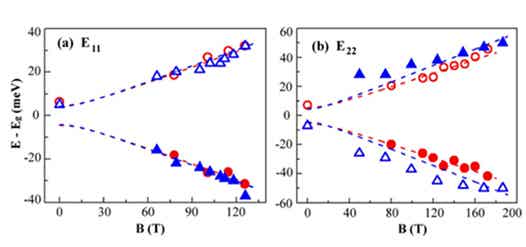
中國科學院物理研究所/北京凝聚態物理國家實驗室(籌)先進材料與結構分析重點實驗室特聘研究員劉華平與日本產業技術綜合研究所首席研究員Hiromichi Kataura教授,美國Rice大學教授Junichiro Kono,日本東京大學教授Shojiro Takeyama等分別合作,在單一手性碳納米管旋光異構體分離和物性研究方面取得了幾項重要進展:(1)劉華平與Hiromichi Kataura等發展了凝膠色譜技術,通過離子表面活性劑精確調控碳納米管與凝膠的作用力強度,利用多糖凝膠的手性結構與碳納米管左右螺旋結構作用力的差異,將分散的碳納米管溶液載入多段凝膠色譜柱,同時分離出了9種高純手性碳納米管及其左右螺旋鏡像體結構(如圖1),真正實現了碳納米管單一結構的宏量制備,解決了碳納米管性質和應用研究瓶頸。(2)在碳納米管結構分離的基礎上,劉華平與Junichiro Kono等合作,利用超快激光對分離出的(6, 5)碳納米管進行激發,探測并識別出了(6, 5)碳納米管的14個聲子振動模式(如圖2),該成果有助于進一步理解一維結構中的聲子與電子的動態關系和相互作用,為一維結構中聲子的振動建立更準確的理論模型奠定了基礎。(3)劉華平與Shojiro Takeyama等合作,對分離出的單一手性碳納米管 (6, 4)和(6, 5) 進行了系統的磁光性能研究。在超高強磁場中,通過對碳納米管光吸收譜的測量,直接觀察到了半導體碳納米管第二子能帶中的明暗激子能量的相對順序與碳納米管的結構密切相關(如圖3)。該研究成果表明,通過碳納米管激子態的操控,有望實現碳納米管光學性能的控制。
該系列工作分別發表在Nano Lett. 14 (2014) 6237, Nano Lett. 14 (2014) 1426和Scientific reports4 (2014) 6999上。這些工作得到了中科院百人計劃和國家青年千人計劃項目的支持。

圖1. 分離出的單一手性碳納米管旋光異構體的圓二色光譜表征

圖2. (6, 5)單一手性碳納米管相干聲子譜表征

圖3. (6, 4)(6, 5)碳納米管E11(左)和E22(右)子能帶中明暗激子能量與外加磁場之間關系


